Hasil Proyeksi Pada Dimensi Tiga


Pada postingan kita kali kita akan membahas masalah proyeksi. Kalau mendengar kata proyeksi kita seolah- olah membayangkan pembangun gedung, proyek dan proyek MRT dan sebagainya. Nah yang kita bahas sekarang bukan itu ya, Pembahasan kita kali ini adalah Hasil Proyeksi Pada Dimensi Tiga. Proyeksi dalam bahasa Indonesia adalah bayangan artinya proses memindahkan titik, garis pada suatu bidang. Proyeksi ini dilakukan dengan cara menjatuhkan titik pada garis tegak lurus terhadap suatu bidang dan biasanya dilambangkan dengan tanda aksen (').
Baik sob, biar kita lebih paham masalah proyeksi kita baca postingan ini
1. Proyeksi Titik dan Garis Pada Garis
Proyeksi garis AB pada garis g adalah bayangan AB pada garis g yang tegak lurus terhadap garis g (Kata Kuncinya Saling tegak Lurus). Maka hasil proyeksinya adalah A'B'.


2. Proyeksi Titik Pada Bidang
Proyeksi titik A pada bidang v adalah titik tembus garis yang tegak lurus dari A pada bidang v.
Pada gambar terlihat:
A' = Proyeksi A pada bidang v
AA' = Jarak titik A pada bidang v

3. Proyeksi Garis Pada Bidang
a. Garis tegak lurus bidang
Garis AB tegak lurus bidang v. maka proyeksi garis AB pada bidang g adalah titik B.
b. Garis sejajar bidang
Garis AB diproyeksikan pada bidang v menghasilkan A'B'. Maka Panjang proyeksi AB = Panjang A'B'.
c. Garis memotong bidang
Garis AB memotong bidang v. maka hasil garis AB pada bidang v adalah A'B. Panjang proyeksi AB = Panjang A'B


Nah itu ya proyeksi titik, garis dan bidang pada dimensi tiga. Mari kita kerjakan contoh soal di bawah ini
1. Tentukan hasil proyeksi pada kubus ABCD.EFGH
a. Titik A pada garis HF
b. Garis EH pada bidang BCGF
Jawab:
a. Proyeksi titik A pada garis HF (Tegak lurus pada garis HF)
Maka hasil Proyeksi A pada garis HF adalah titik A'
b. Garis EH pada bidang BCGH (garis EH sejajar bidang BCGH) maka hasi proyeksinya adalah garis FG.
2. Sebuah kubus ABCD.EFGH, dengan panjang sisi 8 cm. maka panjang proyeksi AH pada bidang BDHF adalah...
Jawab:
Langkah- Langkah mengerjakan soal
1. Lukis dulu kubus ABCD EFGH
2. Bidang BDHF pada kubus 
3. Proyeksikan garis AH pada bidang BDHF tegak lurus terhadang bidang BDHF
4. Tentukan panjang proyeksinya

 Diketehui:
Panjang AB = 8 cm
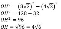
panjang AH = 8√2 cm ( Teorema pythagoras)
panjang AO = 1/2 AC = 4√2
Dengan menggunakan teorema pythagoras sisi miring adalah AH dan siku- siku berada di O maka
jadi panjang proyeksi AH pada bidang BDHF adalah 
4√6 cm.



Sudah pahamkan dengan pembahasan hasil proyeksi pada dimensi tiga. Banyakin bahas soal lagi ya, coba in deh pada bangun ruang yang lain. intinya pahami konsep di atas ya. Sekian pembahasan kita mudah- mudahan bermanfaat terima kasih.

Comments